sábado, 25 de septiembre de 2010

MECANISMOS


TAREA DE LEVAS

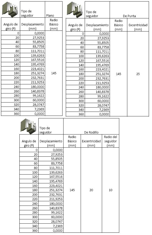
Buscar tabla de datos de acuerdo al número asignado.





























































Actividades:


a) Graficar el recorrido del seguidor en función del desplazamiento angular ó ángulo de giro.

b) Graficar el perfil básico de la leva.

c) Obtener la tabla de valores del perfil real de la leva (OPx, OPy), con una muestra de cálculo de dos puntos que demuestre cómo determinó los valores de la tabla.

d) Graficar el perfil real de la leva.

e) Realizar un dibujo a escala de la leva con su seguidor e ilustrar al menos cuatro posiciones que podría adoptar la leva.




Ejemplo de un dibujo de una leva en 4 diferentes posiciones:

1 comentario: